Il Comites Tunisia e Ita Airways hanno stipulato una convenzione, che permette ai possessori di Carta Servizi che si faranno riconoscere, presso le biglietterie ufficiali ITA AIRWAYS e alle biglietterie autorizzate IATA in Tunisia di poter accedere a sconti sulle tariffe dei biglietti sulle rotte: ITALIA/TUNISIA – TUNISIA/ITALIA e TUNISIA/EUROPA.

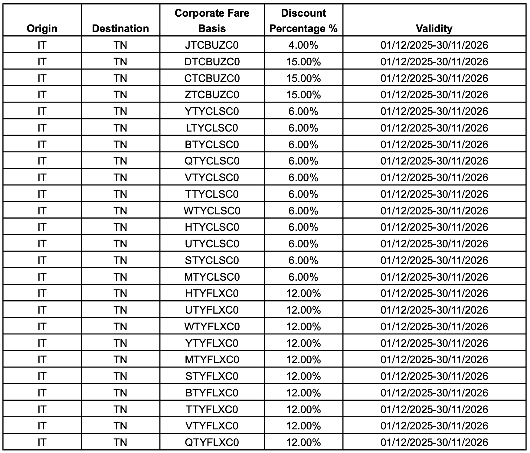
Le tariffe a cui è possibile applicare gli sconti che variano dal 15% al 4% sono le seguenti.
PER INFORMAZIONI : ITA AIRWAYS +39 06 85960020
CONVENZIONE: COMITES TUNISIA FQTB 518319*
*Potrà essere chiesto di esibire la Carta Servizi Comites

La convenzione è valida fino al 30/11/2026